Orifice
In fluid mechanics, an orifice is a plate that is inserted in a line and typically has a round hole in its centre. Orifices are used as fixed throttles that generate head loss. The head loss caused by an orifice can be used to determine the volume or mass rate of flow during flow metering. Orifices used in flow metering are preferably designed as a standard orifice.
Orifices can be fitted to lines branching from piping for throttling purposes so that volumetric flow can be distributed as required.
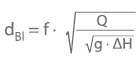
The hole diameter (dOr) must be dimensioned in accordance with the required flow rate (Q), the difference in static pressure upstream and downstream of the orifice (see standard orifice), and a non-dimensional throttling coefficient (f) respective of the area ratio ((dOr/D)2) of the orifice and design of the orifice hole (applies to sharp-edged orifice openings). See Fig. 1 Orifice

f Throttling coefficient
dOr Inside diameter of orifice in mm
g Gravitational constant of 9.81 m/s2
ΔH Pressure head difference to be throttled in m
Q Flow rate in m3/h
dOr Inside diameter of orifice in mm
g Gravitational constant of 9.81 m/s2
ΔH Pressure head difference to be throttled in m
Q Flow rate in m3/h

Fig. 1 Orifice: Throttling coefficient f
Since the area ratio is not initially known when the inside diameter of the orifice is determined, the throttling coefficient is estimated and then corrected by iterating the calculation.
If distribution of the volume flow rate must be highly precise, the diameter of the orifice bore should be somewhat larger and the flow rate regulated as required using a control valve.
