Geschwindigkeitshöhe
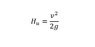
Die Geschwindigkeitshöhe (HU) ist nach DIN EN ISO 17769-1 derjenige Anteil der Förderhöhe, der die kinetische Energie enthält. In der BERNOULLI-Gleichung (siehe Strömungslehre) wird die Geschwindigkeitshöhe neben der Druckhöhe und der geodätischen Höhe folgendermaßen bestimmt:

v: Durchflussgeschwindigkeit in einem charakteristischen Strömungsquerschnitt in m/s
g: Fallbeschleunigung
Siehe Abb. 1 und 2 Geschwindigkeitshöhe(öffnet in einem neuen Tab)
