Venting
Venting is a necessary process which serves to release accumulations of air from pressurised water pipes and allows a centrifugal pump to be primed with the fluid handled prior to its start-up. To this end, centrifugal pumps in suction head operation are equipped with a vent valve or a manually operated air vent at the pump casing's apex.
Venting systems use water ring pumps or jet pumps (see Eductor-jet pump). They are employed as automatic systems which keep the pump ready for operation and as start-up systems that prime the suction line and the pump just before it is started up.
Waste water pumps, for instance, are continuously vented via an open vent line with a diameter of at least 25 mm. The leakage water flow is allowed for in this arrangement and is led back to the intake chamber or similar.
If centrifugal pumps are installed above the suction-side water level and their suction line is equipped with a foot valve, they are filled either manually by means of a filling funnel at the pump suction nozzle or via a venting system; this is necessary unless the pumps are self-priming (see Priming).
When calculating the vent time of suction and siphoning lines, the air volume to be drawn off should be established separately for the continuously rising section and the horizontal section of the piping, and the two added together.
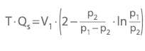
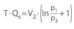
The following equations apply:
- For vertical pipes

- For horizontal pipes

The expressions in brackets are combined in a factor f which is plotted in the graph as a function of the geodetic suction lift (Hs.geo) See Fig. 1 Venting

Fig. 1 Venting: The factor f is used to determine the vent pumps’ suction volume for suction and siphoning lines. It incorporates a 10 % safety margin which takes into account the gas and air content of the water.

T Vent time in s
V Gas-filled volume of vertical or horizontal pipe in m3; the volume within the pump is added to that of the horizontal pipe.
f Factor See Fig. 1 Venting
Qs Flow rate of a vent pump in m3/s
p1 Pressure in bar at which the venting process of the
pipe's volume (V) starts
pipe's volume (V) starts
p2 Pressure in bar at which the respective pipe's volume (V)
is filled with water
is filled with water
